The Options Menu is shown below.
The entries are described below:
This entry will be visible if the code generation module has been purchased. If visible it is described here.
This entry will be visible if the code generation module has been purchased. If visible it is described here.
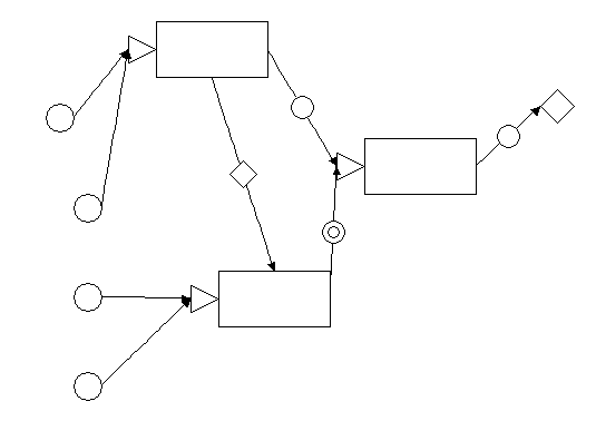
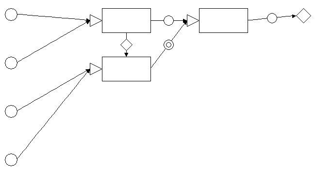
This entry performs basic arrangements of the Network diagram. An example of 'before' and 'after' arrange is shown below:
Before:
After:
This entry is described here.
This provides a visual indication of whether the Network diagram is properly formed in order that code can be generated from it. It is useful whether or not the code generation module has been purchased.
The following validation rules are applied to entities in the Network:
Processes. They must:
- Have 0 or 1 Merge attached.
- At least 1 input Data Stream
- At least 1 output Data Stream.
- Have a "JSP For Windows" explosion.
- Be connected to nothing else.
Data Streams (all variants). They must:
- Be connected at both ends to one of Process, Merge, System Boundary State Vector, System Boundary Data Stream.
- Be connected to nothing else.
Merges. They must:
- Be connected to a single Process
- Be connected to at least 1 input Data Stream
- Be connected to nothing else.
System Boundary State Vector and Data Streams. They must:
- Be connected to a single input or output data stream.
- Be connected to nothing else.
Entities that do not satisfy the above criteria are highlighted by being drawn in the current 'validation' colour which can be changed by the user here.